三、n维空间中凸体体积公式
n维空间的点的坐标为(
).所谓n维空间中的凸体
,是指
中任意两点A和B的连线仍在
中,即设A=
B=
,若A,B∈
,则点
.其中
, i=1,2,…,n
下面列出几种凸体体积的计算公式.
[单纯形]
已知n维空间中的n+1个点
,包含这n+1个点的最小凸体称为由
张成的单纯形,记作
,若设
的n个坐标为
(
)
i=1,2,…,n+1
则单纯形
的体积

n=2时为三角形,n=3时为四面体.
[超立方体]
:
|
|≤
,
i=1,2,…,n
V=
[广义八面体]
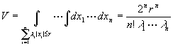
1°
1:
≤r,
>0,
i=1,2,…,n

2°
2:
≤r,
>0,
>0,i=1,2,…,n-1

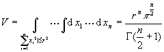
[n维球体]
:![]()

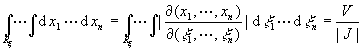
[凸体的线形变换] 设有线性变换
=
, i=1,2,…,n
J=det(dij)≠0
将凸体R映成
,则
的体积为

这里![]()
为该线性变换的雅可比式.