三、变异系数《医学统计学》

三、变异系数

上述各种变异指标可用来比较同类事物变量值间的变异情况。各变异指标的共同点是:值小表示变量值密集,值大表示变量值分散。但在有些情况下用标准差等变异指标来比较就不适宜了。如某地7岁男童身高均数为123.10cm ,标准差为4.71cm;体重的均数为22.29kg,标准差为2.26kg。由于单位不同,我们不能因为4.71>2.26而说身高的变异大于体重,需要有另一个指标,它不受单位的限制,那就是变异系数,其公式为:

CV=S/X×100%,X>0    (4.18)

也就是将标准差化为各自均数的百分数,然后比较。这样不但可以比较单位不同的变量值间的变异,而且可以比较均数相差悬殊的变量值间的变异。

上述7岁男童身高、体重的变异系数分别为

身高CV=4.17/123.10×100%=3.83%

体重CV=2.26/22.29×100%=10.14%

可见同一批儿童的体重变异比身高的大。

例4.12被试者9人,试验时坐在舒适的牙科椅上测口腔压力波幅PcmAq(厘米水柱)。然后外加呼吸阻力20cmAq(1/sec),5分钟时再测口腔压力波幅结果如下。试比较外加呼吸阻力前后,口腔压力波幅的变异。

表4.9 外加呼吸阻力前后的口腔压力波幅

口腔压力波幅,cmAg

口腔压力波幅,cmAg
XSCV(%)
加阻力前1.2180.25621.019
加阻力后7.2400.6338.741

外阻力前口腔压力波幅的变异较大。

外加呼吸阻力前后的口腔压力波幅的单位都是cmAq,如直接比较两个标准差,可能会得出加阻力后数值变异较大的结论。但由于两均数相差悬殊,加阻力后的均数几乎是加阻力前的6倍,因此就不宜直接比较标准差而应比较它们的变异系数。

变异系数还常用于比较多个样品重复测定的误差等。

运用变异系数时应注意(1)有关的事物间才能作比较,不要将风马牛不相及的东西硬拉在一起作比较;(2)均数小于标准差时应考虑其实际运用价值。因为在这种情况下,可能誇大变异,故不宜使用;(3)比较两变异系数间是否真有差别,亦应作假设检验,不能只看表面值就下结论。

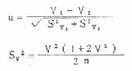
[附]比较两变异系数可用u检验,其公式为

式中V为以小数表示的变异系数,SV2是变异系数的标准误的平方,n是样本含量。u是正态离差系数。

例4.13比较例4.12中两总体变异系数间有无差别。

H0:两总体变异系数相等

H1:两总体变异系数不等

α=0.05

u>u0.05,0.05>P>0.01,在α=0.05的水准处拒绝H0,接受H1,两总体变异系数不等。外加呼吸阻力前的口腔压力波幅的变异较大。

上一页:二、标准差
当前页:三、变异系数
下一页:四、运用变异指标的注意事项