三、多个样本均数间的两两比较的q检验《预防医学》

三、多个样本均数间的两两比较的q检验

经方差分析后,若按α=0.05检验水准不拒绝H0,通常就不再作进一步分析;若按α=0.05甚至α=0.01检验水准拒绝H0,且需了解任两个总体均数间是否都存在差别,可进一步作多个样本均数间的两两比较。两两比较的方法较多,在此仅介绍较常用的q检验(Newman-Keuls法)

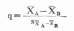
公式(19.13)

(各组ni相等) 公式(19.14)

(各组ni不等) 公式(19.15)

式中,x-x为两两对比中,任两个对比组A、B的样本均数之差;sxA-xB为两样本均数差的标准误;ni为各处理组的样本含量;nA,nB分别为A、B两对比组的样本含量;MS误差为单因素方差分析中的组内均方(MS组内)或两因素方差分析中的误差均方(MS误差)。

计算的统计量为q,按表19-13所示关系作判断。

例19.11 对例19.9资料作两两比较

H0:任两个季节的湖水氯化物含量的总体均数相等,即μAB

H1:任两总体均数不等,即μA≠μB

表19-13 |q| 值、P值与统计结论

α |q|P值统计结论
0.05<q0.05(v.a)>0.05不拒绝H0,差别无统计学意义
0.05≥q0.05(v.a)≤0.05拒绝H0。接受H1,差别有统计学意义
0.01≥q0.01(v.a)≤0.01拒绝H0,接受H1,差别有高度统计学意义

α= 0.05

1.将四个样本的均数由大到小排列编秩,注明处理组。

xi167.9159.3131.9129.3
处理组
秩次1234

2.计算 sxA-xB本例各处理组的样本含量n1相等,按式(19,14)计算两均数差的标准误。已知MS组内=5.017,n=8

3.列两两比较的q检验计算表(表19-14)

表19-14 两两比较的q检验计算表

A与B(1)x-x(2)组数,a(3)q值(4)=(2)/0.7919q0.05(v.a)

(5)

q0.01(v.a)(6)P值(7)
(1)与(4)38.6448.7443.854.80<0.01
(1)与(3)36.0345.4603.494.45<0.01
(1)与(2)8.6210.8602.893.89<0.01
(2)与(4)30.0337.8843.494.45<0.01
(2)与(3)27.4234.6002.893.89<0.01
(2)与(4)2.623.2832.893.89<0.05

表中第(1)栏为各对比组,如第一行1与4,指A为第1组,B为第4组。第(2)栏为两对比组均数之差,如第一行为X1与X4之差,余类推。第(3)栏为四个样本均数按大小排列时,A、B两对比组范围内所包含的组数a,如第一“1与4”范围内包含4个组,故a=4。第(4)栏是按式(19.13)计算的统计量q值,式中的分母0.7919是按式(19.14)计算出来的SXA-XB。第(5)、(6)栏是根据误差自由度v与组数a查附表19-3q界值表所得的q界值,本例v误差=28,因q界值表中自由度一栏无28,可用近似值30或用内插法得出q界值,本例用近似值30查表,当a=4时,q0.05(30,4)=3.85,q0.01(30,4)=4.80,余类推。第(7)栏是按表19-13判定的。

4.结论由表19-14可见,除秋季与冬季为P<0.05外,其它任两对比组皆为P<0.01,按α=0.05检验水准均拒绝H0,接受H1,可认为不同季节的湖水氯化物含量皆不同,春季氯化物含量最高,冬季含量最低。

上一页:二、随机区组(配伍组)设计的多个样本均数比较
当前页:三、多个样本均数间的两两比较的q检验
下一页:一、第一类错误与第二类错误

返回目录