3. 组合
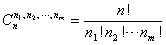
[通常意义下的组合] 从n个不同的元素中,每次取出k个不同的元素,不管其顺序合并成一组,称为组合.其组合种数为
并且规定.
[多组组合]把n个不同的元素分成m组,第i组有ni个不同的元素,即,这样分组的种数为
通常意义下的组合是其特例.
[有重复的组合] 从n个不同元素中,每次取出k个元素,允许重复,不管其顺序合并成一组,这种组合称为有重复的组合,其组合种数为
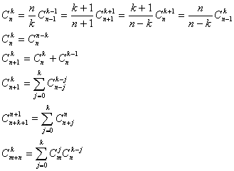
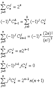
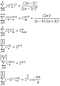
[组合公式]