2. 三角形各元素计算公式

[]

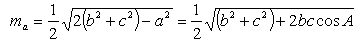
[中线]

[角分线]

[面积]

[外接圆半径]

[内切圆半径]