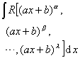
3.有理函数积分的变量替换公式表
表中R表示有理函数
|  
       积分类型  | 
     
       变量替换公式  | 
     
       
  | 
  
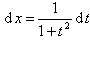
|  
       
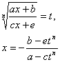
 (n为整数) 
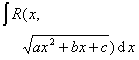
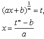
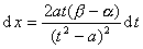
 (m,n为整数)  | 
     
       
 
 式中r为n,m,…的最小公倍数  | 
     
       
 
 
  | 
  
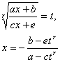
|  
       
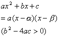
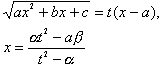
 a>0时 
 
 c>0时  | 
     
       
 
 
 
  | 
     
       
 
 
 
  | 
  
|  
       
  | 
     
       
  | 
     
       
  | 
  
|  
       
 
 
 
 
 
 
 
 
 
 
 
 
  | 
     
       
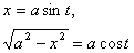
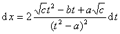
 (或x=asht, 
 
 (或x=acost, 
 
 (或x=ach )  | 
     
       
 (或dx=achtdt) 
 
 
 
 (或dx=-asintdt) 
 
 
 
 (或dx=-ashtdt) 
  | 
  
|  
       积分类型  | 
     
       变量替换公式  | 
     
       
  | 
  
|  
       
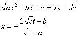
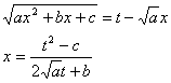
 (式中  | 
     
       设m为 
  | 
     
       
  | 
  
|  
       
  | 
     
       
  | 
     
       
  | 
  
|  
       
  | 
     
       
  | 
     
       
  |