[二重积分的近似计算公式]
		![]()
式中
对于不同的积分区域Ω选取不同的常数,
是求积系数,R是余项.
	Ω为圆形C: 
  
≤
 
  Ac=π![]()
|  
         n  | 
       
         图示  | 
       
         
  | 
       
         
  | 
       
         R  | 
    
|  
         
 
 5  | 
       
         
  | 
       
         (0,0) (±h,0) (0,±h)  | 
       
         
 
 
  | 
       
         
 
 
  | 
    
|  
         
 
 4  | 
       
         
 
  | 
       
         
 
 
  | 
       
         
 
  | 
       
         
 
 
 
  | 
    
|  
         n  | 
       
         图示  | 
       
         
  | 
       
         
  | 
       
         R  | 
    
|  
         
 7  | 
       
         
  | 
       
         (0,0) (±h,0) 
  | 
       
         
 
 
  | 
       
         
  | 
    
|  
         
 
 9  | 
       
         
  | 
       
         (0,0) (±h,0) (0, ±h) 
  | 
       
         
 
 
 
  | 
       
         
 
 
  | 
    
|  
         
 
 
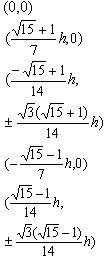
 7  | 
       
         
  | 
       
         (0,0) (± (±  | 
       
         
 
 
  | 
       
         
 
 
 
 
  | 
    
|  
         
 
 
 
 21  | 
       
         
 
 
  | 
       
         (0,0) ( 
 ( 
 k=1,2,…,10  | 
       
         
 
 
 
  | 
       
         
 
 
 
 
  | 
    
	Ω为正方形S: 
  |x|≤h,|y|≤h 
  , 
=4![]()
|  
         n  | 
       
         图示  | 
       
         
  | 
       
         
  | 
       
         R  | 
    
|  
         
 
 9  | 
       
         
  | 
       
         (0,0) (±h,±h) (±h,0) (0, ±h) 
 
  | 
       
         
 
 
 
  | 
       
         
 
 
  | 
    
|  
         n  | 
       
         图示  | 
       
         
  | 
       
         
  | 
       
         R  | 
    
|  
         
 4  | 
       
         
  | 
       
         
  | 
       
         
  | 
       
         
  | 
    
|  
         9  | 
       
         
  | 
       
         (0,0) 
 
 
  | 
       
         
 
 
 
  | 
       
         
 
 
  | 
    
	Ω为正三角形T: 
  外接圆半径为h,![]()
|  
         n  | 
       
         图示  | 
       
         
  | 
       
         
  | 
       
         R  | 
    
|  
         
 
 4  | 
       
         
  | 
       
         (0,0) (h,0) 
  | 
       
         
 
 
  | 
       
         
 
 
  | 
    
|  
         
 
 
 7  | 
       
         
 
  | 
       
         (0,0) 
 
 
 
  | 
       
         
 
 
 
 
  | 
       
         
 
 
 
  | 
    
|  
         
 
 
 
 
 
 
 7  | 
       
         
 
 
 
  | 
       
         
  | 
       
         
  | 
       
         
 
 
 
 
 
 
 
  | 
    
Ω为正六边形H: 
  外接半径为h,![]()
|  
         n  | 
       
         图示  | 
       
         
  | 
       
         
  | 
       
         R  | 
    
|  
         
 
 7  | 
       
         
  | 
       
         (0,0) 
 (  | 
       
         
 
 
  | 
       
         
 
 
  | 
    
|  
         
 
 7  | 
       
         
  | 
       
         (0,0) 
 
  | 
       
         
 
 
  | 
       
         
 
 
  | 
    
[三重积分的近似计算公式]
		![]()
式中
对于不同的积分区域V选取不同的常数,
是求积系数,R是余项.
	V为球体
 
   
|  
         n  | 
       
         图示  | 
       
         
  | 
       
         
  | 
       
         R  | 
    
|  
         
 
 7  | 
       
         
  | 
       
         (0,0,0) 
 
 
  | 
       
         
 
 
 
  | 
       
         
 
 
  | 
    
	V为立方体C: 
  |x|≤h,|y|≤h,|z|≤h. 
  
=8![]()
|  
         n  | 
       
         图示  | 
       
         
  | 
       
         
  | 
       
         R  | 
    
|  
         
 
 6  | 
       
         
 
  | 
       
         
 
 
 
 
  | 
       
         
 
 
  | 
       
         
 
 
  | 
    
|  
         
 
 21  | 
       
         
  | 
       
         (0,0,0) 中心到6个面的距离的6个中点 6个面的中心 8个顶点  | 
       
         
  | 
       
         
 
 
  | 
    
|  
         n  | 
       
         图示  | 
       
         
  | 
       
         
  | 
       
         R  | 
    
|  
         
 42  | 
       
         
  | 
       
         6个面的中心 12个棱的中点  每个面的对角线上到每个面中心距离为 24点)  | 
       
         
 
 
  | 
       
         
 
  | 
    
	Ω为四面体T.
为四面体体积
|  
         n  | 
       
         图示  | 
       
         
  | 
       
         
  | 
       
         R  | 
    
|  
         
 
 8 
 
 
 
 
 
 
 
 11  | 
       
         
 
  | 
       
         4个顶点 4个面的重心 
 
 
 
 
 T的重心 4个顶点 6个棱的中点  | 
       
         
 
 
 
 
 
 
 
 
 
  | 
       
         
 
 
 
 
 
 
  | 
    
[曲线积分的近似计算公式]
 
 
	圆周
:
上的曲线积分
	![]()
[曲面积分的近似计算公式]
 	球面
:
上的曲面积分
	![]()
|  
         n  | 
       
         图示  | 
       
         
  | 
       
         
  | 
       
         R  | 
    
|  
         
 
 6 
 
 
 
  | 
       
         
  | 
       
         
 
 
 
 
 
 
 
  | 
       
         
 
 
  | 
       
         
 
 
  | 
    
|  
         n  | 
       
         图示  | 
       
         
  | 
       
         
  | 
       
         R  | 
    
|  
         
 
 
 
 18  | 
       
         
  | 
       
         
 
 
 
 
 
 
  | 
       
         
 
 
 
 
 
  | 
       
         
 
 
 
 
  | 
    
|  
         
 
 26  | 
       
         
  | 
       
         
 
 
 
 
 
 
 
  | 
       
         
 
 
 
 
 
 
  | 
       
         
 
 
  |