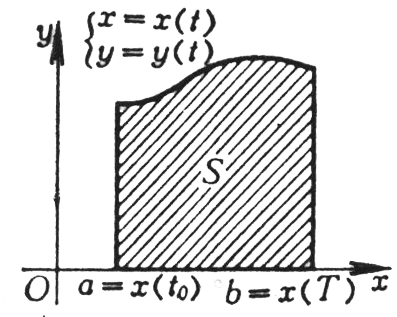
[平面图形面积计算公式]
|  
         图 形  | 
       
         面 积 S  | 
    
|  
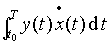
           曲边梯形 
  | 
       
          
         
           
 
  
         
           
 
 
 
 
  
         
           
  | 
    
|  
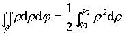
         扇形 
  | 
       
          
         
           
 
  | 
    
|  
         
  | 
       
          
         
           
  | 
    
|  
         
  | 
       
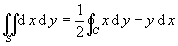
         S=  或 S=2  式中 G到旋转轴的距离.  | 
    
|  
         
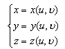
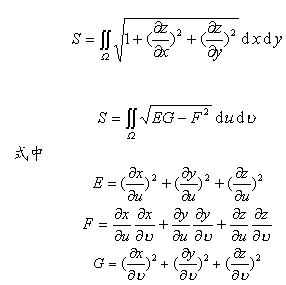
 曲面   在 
  
         
           
 柱面  
         
           
  | 
       
         
 
  
         
           
 
 
 式中C为柱面的准线,ds为曲线C(A,B)上的弧的微 分 . 
  |