[平面图形几何重心坐标的计算公式]
|  
         图 形  | 
       
         几何重心  | 
    
|  
         平面曲线 
  | 
       
         
  | 
    
|  
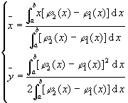
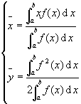
         曲边梯形 
  | 
       
         
  | 
    
|  
         
  | 
       
         
  | 
    
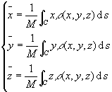
[物体总质量与重心坐标的计算公式]
|  
       物体形状及密度  | 
     
       总质量M与重心  | 
  
|  
       薄板 
 
  | 
     
       
 
  | 
  
|  
       物体形状及密度  | 
     
       总质量M与重心  | 
  
|  
       
 
  | 
     
       
 
  | 
  
|  
       
  | 
     
       
 
 式中ds 为弧的微分,以上积分为曲线积分。  |