[多元多项式] 设常数c1,c2,L,ck属于一个数域S,αi,βi,L,νi(i=1,2,L,k)是正整数或零,则称形如
![]()
L
+![]()
的表达式为数域S上元素x1,x2,L
,xn的n元多项式.
称为它的项,ci为它的系数,αi为项中关于x1的次数,βi为项中关于x2的次数,等等.αi+βi+L+
为项的次数.在多项式中系数不为零的任一项关于xi的最高次数称为多项式关于xi的次数,系数不为零的任一项的最高次数叫做多项式的次数.各项次数都相等的多项式称为齐次多项式.
每个m次多项式f(x1,x2,L,xn)都可唯一地表示成
f(x1,x2,L,xn)=![]()
式中fi(x1,x2,L,xn)为i次齐次多项式.
为了方便,经常把一个多元多项式按某一个变数,例如x1的降幂排列如下:
a0(x2,L,xn)x1m+a1(x2,L,xn)x1m-1+L+am(x2,L,xn)
式中a0(x2,L,xn),a1(x2,L,xn),L,am(x2,L,xn)为x2,L,xn的n-1元多项式.
若f1,f2,L,fk分别为m1,m2,L,mk次的多元多项式,则乘积f1f2Lfk为m1+m2+L+mk次.
[对称多项式] 如果在一个n元多项式f(x1,x2,L,xn)中,对调任一对xi和xj后,f(x1,x2,L,xn)不变,那末称它为x1,x2,L,xn的对称多项式.
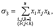
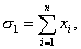
[初等对称多项式] 设

L L L L L L σn=x1x2L xn
则称σ1,σ2,L ,σn为初等对称多项式.例如,由多项式的根与系数的关系(本节,一)可知,多项式的系数除符号外都是根的初等对称多项式.
[对称多项式基本定理] 在数域S上,每个n元对称多项式f(x1,L,xn)都可唯一地表成x1,L,xn的初等对称多项式(系数在S中)的多项式.
[牛顿公式] 设
f(x)=(x-x1) (x-x2)L (x-xn)=xn-σ1xn-1+L +(-1)nσn
sk=x1k+x2k+L+xnk (k=0,1,2,L)
则下面牛顿公式成立:
k≤n时,sk-σ1sk-1+σ2sk-2+L+(-1)k-1σk-1s1+(-1)kkσk =0
k>n时,sk-σ1sk-1+σ2sk-2+L+(-1)nσnsk-n=0
[结式] 设
f(x)=a0xm+a1xm-1+L+am=a0
(m>0)
j
(x)=b0xn+b1xn-1+L+bn=b0
(n>0)
则
R(f,j )= 

这个m+n阶行列式R(f,j)称为多项式f(x)和j(x)的结式,式中空白处的元素都是零.结式具有性质:
R(f,j)=(-1)mn R(j,f)
R(f,j)=![]()
设a0,b0不全为零,则f(x),j(x)在复数域上有公共根的充分必要条件是它们的结式R(f,j)=0.
行列式R(f,j)是f(x)与j(x)的系数的一个m+n次齐次多项式,关于a0,a1,L,am是n次齐次多项式,关于b0,b1,L ,bn是m次齐次多项式.