3.等比数列与等比(几何)级数

a1, a1q, a1q2, a1q3, L (q为常数)

称为公比为q的等比数列.与等比数列相应的级数称为等比级数,又称几何级数.

通项公式

n项和

等比中项

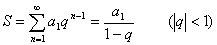
无穷递减等比级数的和