这一章综述了单变量函数的常义积分、广义积分、含参数积分的基本概念、性质和计算方法,收集了求不定积分、定积分、多重积分、曲线积分、曲面积分的有关公式,主要的积分不等式以及积分的某些近似计算公式,简要地列举了积分在实际中的各种应用;编制了不定积分表和定积分表.
[不定积分(原函数)] 如果在给定的区间[a ,b]上
![]()
那末F (x)称为f(x)在区间[a,b]上的一个原函数.
如果f(x)有一个原函数F (x),那末它一定有无穷多个原函数,它们是形如
(式中C是任意常数)的函数族,所以用记号
![]()
表示f(x)的原函数全体,称为f(x)的不定积分.
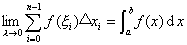
[定积分·黎曼积分] 设在区间[a,b]上给定了函数f(x).用任意方法把区间[a,b]分成若干部分,其分点为
,并设λ是
(i=0,1,2,…,n-1)中最大的.在每一个小区间[
]上任取一点
(i=0,1,2,…,n-1),作和
(图6.1).当λ→0时,如果极限
![]()
存在,那末这个极限称为函数f(x)在区间[a,b]上的定积分,记作
![]()
此时,函数f(x)称为区间[a,b]上的可积函数(黎曼可积),a和b分别称为积分的下限和上限,f(x)称为被积函数,x是积分变量,“
”是积分号.
[牛顿-莱布尼茨公式] 若函数f(x)在区间[a,b]上连续,或分段连续,则f(x)在[a,b]上有原函数,设F(x)是f(x)在[a,b]上的一个原函数,则
这称为牛顿-莱布尼茨公式,或微积分学基本定理,它指出了定积分与不定积分的内在联系.
[可积函数及其性质]
(1) 若函数f(x)在区间[a,b]上连续,则f(x)是可积的.
(2) 若函数f(x)在[a,b]上有界,且只有有限多个间断点,则f(x)是可积的.
(3) 单调有界函数一定是可积的.
(4) 可积函数一定是有界的.
(5) 若函数f(x)可积,则|f(x)|与kf(x)(k为常数)也可积.
(6) 若函数f(x),g(x)可积,则其和、差、乘积也可积.
(7) 若函数f(x)在[a,b]上可积,则f(x)在[a,b]中的任一部分区间[α,β]上也可积.反之,若把[a,b]分割成若干部分区间,并分别在每个部分区间上f(x)可积,则它在整个区间[a,b]上可积.
[积分中值定理]儍儍儍儍
(1) 若函数f(x)在区间[a,b]上连续(图6.2),则在区间[a,b]内至少存在一个数ξ(a<ξ<b),使得
![]()
(2) 若函数f(x),g(x)在区间[a,b]上有界且可积,f(x)连续,g(x)在区间[a,b]内不变号,则在区间[a,b]内至少存在一个数ξ(a<ξ<b),使得
![]()
这称为关于积分的第一中值定理.
(3) 若函数f(x),g(x)在区间[a,b]上有界且可积,而f(x)在[a,b]上是单调的,则在区间[a,b]内至少存在一个数ξ(a<ξ<b),使得
![]()
这称为关于积分的第二中值定理.
(4) 除此条件而外,若f(x)非负单调下降(广义的),则
(a<ξ<b)
若f(x)非负单调上升(广义的),则
(a<ξ<b)